Contrôleurs aériens Marseille, des centaines de vols annulés les 16 et 17 juin 2018 - Crédit photo : Aéroport de Marseille
Débutée le 5 mai 2018, une grève perlée du syndicat UNSA-ICNA, majoritaire au sein du Centre en route de la navigation aérienne (CRNA) d'Aix en Provence va de nouveau produire un week-end chaotique.
Le CRNA d'Aix qui aiguille le ciel du sud-est de la France, avec à proximité l'aéroport de Marseille, va se retrouver amputé d'une partie de ses contrôleurs les 16 et 17 juin 2018.
Même si la DGAC ne réclame aucune annulation de vols de la part des compagnies aériennes, le modèle économique des low-cost contraint ces dernières à supprimer des centaines de rotations.
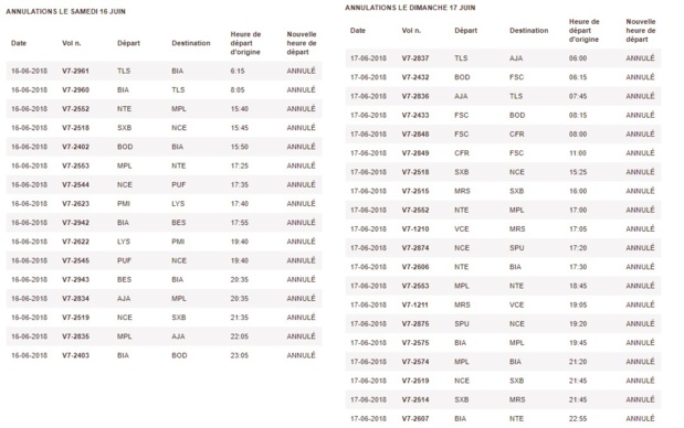
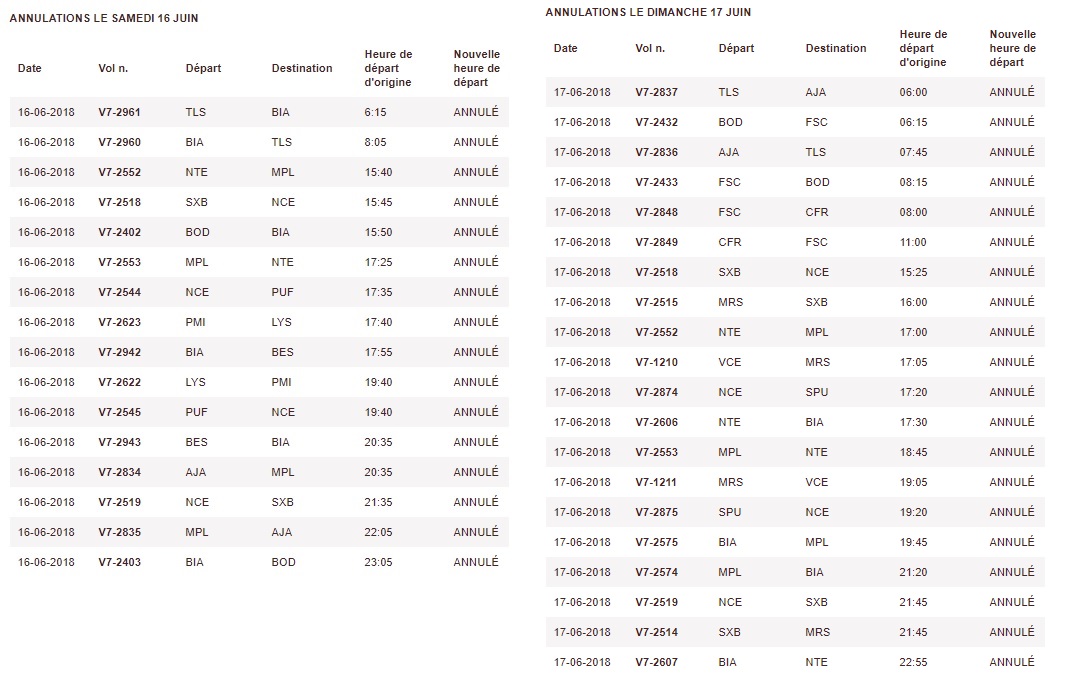
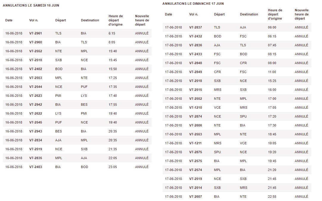
Ainsi easyJet a déjà prévu d'annuler "96 vols le samedi et 124 vols le dimanche, incluant des vols vers et depuis Marseille ainsi que des vols qui traversent l'espace aérien de Marseille" selon un message de la compagnie. De son côté Volotea annonce supprimer 16 vols le 16 juin et 20 vols le dimanche 17 juin 2018 (retrouvez le tableau des vols ci-dessous).
"Suite à une nouvelle grève des CTA en France, Ryanair regrette d'informer ses clients qu'elle a été contrainte d'annuler un certain nombre de vols samedi et dimanche (16 et 17 juin)," nous rapporte un porte-parole de la low-cost. "Tous les clients concernés seront contactés par e-mail et SMS et informés de leurs options: remboursement complet, changement de réservation sur le prochain vol disponible ou transfert vers un autre vol."
D'ailleurs l'exaspération gagne aussi les rend des dirigeants des compagnies puisque Ryanair demande une action immédiate de la Commission européenne pour éviter toute perturbation lors des vacances estivales.
Pour Vueling les répercussions vont au-delà de Marseille, puisque certains vols au départ de Barcelone sont eux aussi supprimés, portant à 61 vols annulés samedi 16 juin 2018, et plus d'une soixantaine le lendemain.
Pour en savoir plus sur cette grève : Contrôleurs aériens Marseille : une grève discrète qui sème la pagaille en Corse
Le CRNA d'Aix qui aiguille le ciel du sud-est de la France, avec à proximité l'aéroport de Marseille, va se retrouver amputé d'une partie de ses contrôleurs les 16 et 17 juin 2018.
Même si la DGAC ne réclame aucune annulation de vols de la part des compagnies aériennes, le modèle économique des low-cost contraint ces dernières à supprimer des centaines de rotations.
Ainsi easyJet a déjà prévu d'annuler "96 vols le samedi et 124 vols le dimanche, incluant des vols vers et depuis Marseille ainsi que des vols qui traversent l'espace aérien de Marseille" selon un message de la compagnie. De son côté Volotea annonce supprimer 16 vols le 16 juin et 20 vols le dimanche 17 juin 2018 (retrouvez le tableau des vols ci-dessous).
"Suite à une nouvelle grève des CTA en France, Ryanair regrette d'informer ses clients qu'elle a été contrainte d'annuler un certain nombre de vols samedi et dimanche (16 et 17 juin)," nous rapporte un porte-parole de la low-cost. "Tous les clients concernés seront contactés par e-mail et SMS et informés de leurs options: remboursement complet, changement de réservation sur le prochain vol disponible ou transfert vers un autre vol."
D'ailleurs l'exaspération gagne aussi les rend des dirigeants des compagnies puisque Ryanair demande une action immédiate de la Commission européenne pour éviter toute perturbation lors des vacances estivales.
Pour Vueling les répercussions vont au-delà de Marseille, puisque certains vols au départ de Barcelone sont eux aussi supprimés, portant à 61 vols annulés samedi 16 juin 2018, et plus d'une soixantaine le lendemain.
Pour en savoir plus sur cette grève : Contrôleurs aériens Marseille : une grève discrète qui sème la pagaille en Corse
Vols annulés par Volotea :
Voici les liens où trouver des informations :
Autres articles
-
Air France va-t-elle s'attaquer de nouveau aux bases de province ?
-
Décarbonation, immobilier : l'aéroport Marseille - Provence joue la carte de la diversification
-
La Selectour Academy embarque avec sa nouvelle promo d’alternants (Vidéo)
-
L’Aéroport Marseille Provence dévoile sa nouvelle identité de marque
-
Marseille signe une saison touristique stable et dynamique en 2025




















